本周,是全市中小学生开学的大日子,为了提前做好开学季准备工作,各大新媒体纷纷使出看家本领。首先是青岛市教育局,以总点击量23w+的成绩高居政务类榜首,其发表的“为什么越乖的孩子,长大后越痛苦?无数家长看完沉默了”一文更是以77080的点击刷爆朋友圈,引发家长思考;其次青岛市市南区旅游局也在开学季推出了免费送公交卡活动,受到了广大家长的欢迎,凭借该活动青岛市市南区旅游局也以点击量5w+的成绩获得本期旅游类榜首;除此之外,即墨教育也在本期表现优秀,取得政务类第4名的好成绩,其发表的“校历到!小编为您精心制作2016下半年校历版日历,快收藏吧!”一文收获2w+阅读。
榜单:














榜单说明:
1、“青岛最有影响力微信排行榜”由青岛新闻网微运营整理发布。数据来自新媒体指数。更多信息请关注。
2、统计情况:
文章发布时段:2016年8月21日0:00-2016年8月27日24:00。
数据收集时间:2016年8月29日14:00
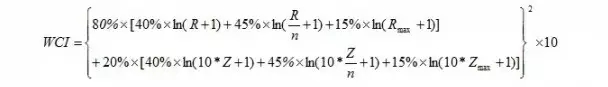
3、微信公众号综合影响力指数:WCI 指标体系:
计算公式:


各参数含义: R: 总阅读数(某账号当期所有文章阅读数总和); Z:总点赞数(某账号当期所有文章点赞数总和); N:某账号当期发布文章数; Rmax:某账号当期最高阅读数; Zmax:某账号当期最高点赞数; R/N,Z/N:平均阅读数和平均点赞数; Z/R:点赞率;
4、本次榜单收录了青岛12个行业微信公众号,如您的账号暂未收录,可联系0532——68873209。
5、我们拒绝付费冲榜、拒绝潜规则、拒绝买粉等一切恶意营销公众号参评。

学习更多微信运营经验,欢迎加入“青岛自媒体联盟”交流群,我们期待您的加入!